目前生产自动驾驶汽车系统通常依赖大量的数据处理过程。安装在汽车上的传感器阵列收集的数据,能够提供完整的道路视图。但是理解这些数据,以及确定可能需要更多注意的物体和道路变化,需要昂贵的计算费用。
解决这个问题的一种方法是增强汽车自动驾驶系统的处理能力。但由于硬件需求和能耗增加,导致费用昂贵。另一种方法是使驱动系统在用尽资源时具有选择性,有目的在某些区域使用更少的循环周期,并将剩余的用于更重要的元素。
据外媒报道,近期,美国专利商标局(US patent and Trademark Office)公布了苹果公司的“深度感知传感器数据处理”(Depth perception sensor data processing)的专利申请,该专利描述了系统如何对传感器数据进行选择性处理。

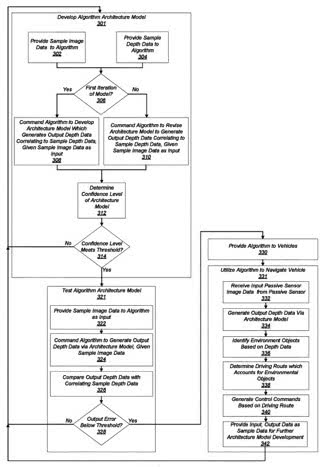
据该专利申请文件,传感器数据处理系统从车辆上的传感器接收数据,并生成环境深度数据表。该系统能够使用一个或多个无源传感器设备,如相机,为整个环境生成一个整体地图,包括图像数据和深度数据,使系统对当前区域有一个基本的了解。然后,由一个或多个有源传感器设备,如激光雷达等更密集的硬件,生成第二组数据,并与模型进行比较。接着,使用更多的有源传感器数据对模型进行迭代调整,直到“置信”模型准确到足以适用于自动驾驶系统中的其他部件。

该专利将置信水平定义为基于“每次调整迭代对算法的修订幅度”。简而言之,它会一直利用传感器数据来调整模型,直到可以忽略不计为止。这可以使自动驾驶系统节约资源、降低成本、提高性能。通过更快地创建道路模型,系统可以更早地识别物体,从而反应更灵敏,并且更安全。苹果公司表示,该专利还可以使用机器学习或深度学习算法来更好地改进模型调整和物体识别过程。该公司还建议使用多辆车的传感器系统,提供更广泛的可监测环境范围,扩大车辆的有效“视野”。
尽管苹果公司每周都会向美国专利商标局提交大量专利申请而且此类专利申请也确实表明了苹果对此领域的研发兴趣,但并不能保证这些概念会成为商业产品或服务。




















